Arrow Tech Home page
Previous  Top  Next
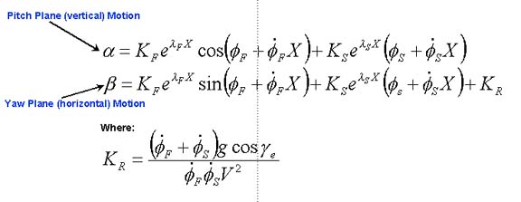
Linear Theory Used in the Yaw Card Analysis

This section of the Tutorial will summarize Linear Theory and its application to Yaw Card Analysis

Linear Theory describes downrange angular motion mathematically using both the physical and aerodynamic properties of a projectile design.

The angular motion is modeled using two vectors (Kf(fast) and Ks (Slow))rotating about the projectile centerline

The following equations further expands linear theory into components of the total angle of attack, the Pitch (Alpha) and Yaw (Beta) planes

The Kr Vector describes the angle generated based on trajectory curvature for spin stabilized projectiles. This angle is known as the Yaw of Repose and is caused by the gyroscopic reaction of the projectile to the vertical angular rate as the projectile tracks the trajectory curvature causing the projectile to generate a yaw angle in the horizontal plane. The Yaw of Repose is not taken into account during the Yaw Card analysis and is only shown here for informational purposes.

Using these relationships the Yawcard analysis module solves for the following unknown parameters using the data measured from the yaw cards. The parameters identification methodology is a least squares fit to the Linear Theory equations of motion (distance based).

Previous  Top  Next
© 2002 Arrow Tech Associates